過濾器阻力計算-一步步教你計算方法
過濾器在空氣處理和液體處理系統中起著至關重要的作用,其阻力是影響系統性能的關鍵因素之一。本文將詳細介紹過濾器阻力的定義、計算的基本原理、計算步驟、影響因素以及實際應用,幫助您一步步掌握過濾器阻力的計算方法。
過濾器阻力的定義
過濾器阻力是指空氣或液體通過過濾器時所受到的阻力,通常用壓降(Pressure Drop)來表示。壓降是指流體在通過過濾器前后的壓力差,單位通常為帕斯卡(Pa)或毫米水柱(mmH2O)。過濾器阻力是衡量過濾器性能的重要指標之一,直接影響系統的能耗和運行效率。
過濾器阻力計算的基本原理
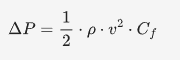
過濾器阻力的計算基于流體力學原理,主要涉及流體的流速、過濾器的結構和材質等因素。過濾器阻力可以通過以下公式計算:

其中:
- ?P是過濾器的壓降(Pa)
- ?p是流體的密度(kg/m3)
- ?u是流體的流速(m/s)
- ?C是過濾器的阻力系數
過濾器阻力計算的步驟
以下是計算過濾器阻力的詳細步驟:
第—步:確定流體的密度
根據流體的類型和溫度,查找或計算流體的密度。例如,空氣在標準狀態下的密度約為1.2 kg/m3。
第二步:測量或計算流體的流速
流體的流速可以通過流量計測量或根據系統設計參數計算。例如,可以通過流量(Q)和管道截面積(A)計算流速:

第三步:確定過濾器的阻力系數
過濾器的阻力系數(C)通常由制造商提供,或者可以通過實驗測定。不同類型和材質的過濾器具有不同的阻力系數。
第四步:計算過濾器的壓降
將流體的密度、流速和過濾器的阻力系數代入公式,計算過濾器的壓降:

影響過濾器阻力的因素
過濾器阻力受多種因素影響,主要包括以下幾個方面:
- 過濾器材質:不同材質的過濾器具有不同的阻力系數。例如,纖維過濾器的阻力系數通常較高,而金屬網過濾器的阻力系數較低。
- 過濾器結構:過濾器的結構設計也會影響其阻力。例如,多層過濾器的阻力通常較高,而單層過濾器的阻力較低。
- 流體流速:流體的流速越高,過濾器的阻力越大。因此,在設計過濾系統時,需要合理控制流速。
- 流體性質:流體的粘度、溫度和密度等性質也會影響過濾器的阻力。例如,高粘度流體的阻力通常較大。
- 過濾器的使用時間:隨著過濾器的使用時間增加,過濾器表面會積聚顆粒物,導致阻力增加。因此,定期更換和清潔過濾器是保證系統高效運行的重要措施。
過濾器阻力計算的實際應用
過濾器阻力的計算在實際應用中具有重要意義,主要體現在以下幾個方面:
- 系統設計:在設計空氣處理和液體處理系統時,過濾器阻力是重要的設計參數之一。合理計算和控制過濾器阻力,可以提高系統的能效和運行穩定性。
- 設備選型:在選擇過濾器時,需要考慮其阻力特性,選擇適合系統需求的過濾器。例如,在高流速系統中,需要選擇阻力較低的過濾器;在高精度過濾系統中,需要選擇阻力較高但過濾效果更好的過濾器。
- 能耗評估:過濾器阻力直接影響系統的能耗。通過計算過濾器阻力,可以評估系統的能耗水平,優化系統設計,降低運行成本。
- 維護保養:定期計算和監測過濾器阻力,可以及時發現過濾器的堵塞情況,進行清潔和更換,保證系統的高效運行。
通過以上介紹,您可以全面了解過濾器阻力的定義、計算的基本原理、計算步驟、影響因素以及實際應用。在實際操作中,掌握過濾器阻力的計算方法,可以有效提高系統的設計和運行效率,為您的生產和生活提供可靠的保障。
網友還關心:
- 過濾器阻力過大會有什么影響?
過濾器阻力過大會導致系統能耗增加,流體流速降低,影響系統的運行效率和穩定性。同時,過大的阻力可能會導致過濾器損壞,縮短其使用壽命。因此,在設計和使用過濾器時,需要合理控制其阻力。 - 如何降低過濾器的阻力?
降低過濾器的阻力可以通過以下幾種方法:選擇阻力系數較低的過濾器材質和結構;合理控制流體的流速;定期清潔和更換過濾器,防止顆粒物積聚;優化系統設計,減少不必要的阻力。

